氧化性漂白的主要漂白劑有次氯酸(或次氯酸鹽)、氯和過氧化氫。氧化性漂白的作用有多方面,例如:
(1)消除發色體中的雙鍵:

雙鍵,尤其是共軛雙鍵的消失,使物料的發色能力或潛在發色能力消失或降低。
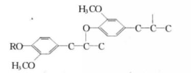
(2)破壞分子結構,使形成碎片的小分子。如木材含有纖維素、半纖維素、木素以及樹脂、單寧等物質。木素是具有發色或潛在發色能力的物質,其分子是由帶甲氧基的苯基丙基單元所組成的大分子,次氯酸鈉各單元就含有三個基本發色團,其典型結構為:

本文源自http://www.rarwxb.com/news/614.html,轉載請注明出處。
(責任編輯:次氯酸鈉http://www.rarwxb.com/)